金年会

金年会 | 首页

原料医用品与中间体

APIs and Intermediates

水溶性芦丁

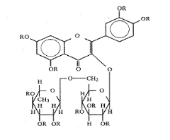
【分子构成】:

【CAS号】:12768-44-4

【来源】:水溶性芦丁

【认证】:—

【规格】:企标

【DMF】:—

【用途】:

具有抗氧化功能,可用于抗氧化功效的化妆品中

今日访客:0
Copyright © All rights reserved   蜀ICP备 20112223号 技术支持:金年会 (川)-非经营性-2020-0024 本网站未发布麻醉医疗用品、精神医疗用品、医疗用毒性医疗用品、放射性医疗用品、戒毒医疗用品和医疗机构制剂的产品信息。
XML 地图 | Sitemap 地图
XML 地图